Scientific Research
“SEEN in Sport are working for the return of fair sport in the female category. This means excluding male athletes from that category. This is foundational for sex equality and equity in sport. This isn’t only a concern for female athletes, or just for women. It’s important for all of us who care about sport and fairness. I commend their work.”
Jon Pike, Professor of Philosophy, The Open University.
Christensen et al, 2025 -
Sex Differences in 1600-m Running Performance and Participation for Children Aged 6-12 yr
The purpose of this study of 3621 children was to 1) identify sex-based differences in aerobic running performance at 1600 m for children aged 6–12 yr and 2) investigate sex-based differences in participation in children and any relationship between participation and sex differences in aerobic performance.
Male children are faster than female children at running 1600 m at every age between 6–12 yr. This sex difference was not a result of lower female participation and innate physiological sex differences may be responsible.
Male advantage exists before puberty so it is unfair to allow male children to compete with female children at any age.
Brown and Shaw, 2024 -
A study of the USA Track and Field National Youth Outdoor Championships and National Junior Olympic Championships during the years 2016–2023. The introduction cites dozens of other relevant studies in sex differences.
Males in the 8-and-under age group outperformed females of the same ages by 19.3% in shot put, 32.6% in javelin throw, and 4.7% in long jump.
Males in the 9–10-year-old age group outperformed females of the same ages by 6.5% in shot put, 23.5% in javelin throw, and 3.9% in long jump.
Although some females in these age groups threw or jumped farther than some males, the average distances for males were farther than for females; the best performing males threw and jumped farther than the best performing females and the average differences between the sexes were larger than within sex differences for the top 4 finalists (i.e., those in closest competition for a medal)
As throwing and jumping are key components of many sports, these pre-pubertal sex-based differences between males and females should be considered by sport governing bodies and policy makers.
Male advantage in sport is evident even before puberty.
Brown and Shaw, 2024 -
Brown and Shaw, 2024 -
Berry et al, 2025 - X and Y gene dosage effects are primary contributors to human sexual dimorphism: The case of height | PNAS
Many human phenotypic traits vary between the sexes, including adult height for which males are, on average, 13 cm taller than females
Y chromosome genes contribute more to height than their X chromosome counterparts, independent of male sex hormonal effects.
The difference between the X and the Y chromosome cause hormonal differences between males and females, but these differences have been insufficient to explain the average 13cm height difference between the sexes.
Greater height is an advantage in many sports. The male height advantage cannot be eliminated simply by hormone therapy.
Hunter, 2024 -
The focus of this review is on sex- and age-based differences in human performance highlighting performance fatigability and real-world data.
Males typically outperform females in absolute athletic performance involving muscle strength, muscle power, and aerobic endurance.
The International Olympic Committee framework on fairness, inclusion and nondiscrimination on the basis of gender identity and sex variations does not protect fairness for female athletes
Hilton, Lundberg and Tucker, 2024 -
Reply to Williams et al.:
Fair and Safe Eligibility Criteria for Women's Sport’ (2024, Scandinavian Journal of Medicine and Science in Sports): https://onlinelibrary.wiley.com/doi/full/10.1111/sms.14754
‘Fair and Safe Eligibility Criteria for Women's Sport’ (2024, Scandinavian Journal of Medicine and Science in Sports): https://onlinelibrary.wiley.com/doi/abs/10.1111/sms.14715
‘The International Olympic Committee framework on fairness, inclusion and non-discrimination on the basis of gender identity and sex variations does not protect fairness for female athletes’ (2024, Scandinavian Journal of Medicine and Science in Sports): https://onlinelibrary.wiley.com/doi/full/10.1111/sms.14581
‘Female Olympians’ Voices: Female Sport Categories and IOC Transgender Guidelines‘ (2021, International Review for the Sociology of Sport, 5th most influential academic paper in sociology for 2021): https://journals.sagepub.com/doi/abs/10.1177/10126902211021559?journalCode=irsb
‘Female Sports Participation, Gender Identity and the British 2010 Equality Act’ (2021, Sport, Ethics and Philosophy): https://www.tandfonline.com/doi/abs/10.1080/17511321.2021.1993982
‘Sex, Gender Identity and Sport’ (2023) in ‘Sex and Gender Identity: A Reader’ edited by Professor Alice Sullivan and Professor Selina Todd (Routledge): https://www.taylorfrancis.com/books/edit/10.4324/9781003286608/sex-gender-alice-sullivan-selina-todd .
Canadian High-Performance Female Athletes’ Voices: Sex, Gender Identity, and Human Rights: The IOC 2021 Framework and the 2016 CCES Guidelines. Available at: https://macdonaldlaurier.ca/wp-content/uploads/2023/02/Canadian-High-Performance_Female_Athletes_Voices-Project_Report-compressed.pdf
Cathy Devine was a reviewer for the UK Parliament POST Note: Performance, Inclusion and Elite Sports –
Transgender Athletes: https://post.parliament.uk/research-briefings/post-pn-0683/
Cathy Devine is the lead author of the Canadian High-Performance Athlete Project for Sport Canada which uses a human rights frame and surveyed 25 and interviewed 10 Canadian elite female athletes, including 8 Olympians, regarding the inclusion of transwomen in sport. She presented some of this work at the Royal Society of Medicine in December, on the same Panel as Richard Budgett and Madeleine Pape of the IOC:
Pre-Puberty Advantage
Nuzzo 2023
“Greater male than female strength is not because of higher voluntary activation but due to greater muscle mass and type II fiber areas”
At age 10 females have 80% of male strength and this reduces further during puberty
Nuzzo 2025 - Boys have greater grip strength than girls from birth onward.
Nuzzo & Pinto 2025
Before, during, and after puberty, boys are stronger than girls on average. The sex difference in muscle strength is ~10% in 5–10-year-olds and increases to ∼40% in 14–17-year-olds. Throughout development, the sex difference in strength tends to be more pronounced in upper- than lower-limb muscles.
@jwsenefeld @SKHunterPhD
Sex Differences in Track and Field Elite Youth
Boys as young as 7 years old run faster and jump farther than girls in track & field competition
Lowering testosterone does not remove male advantage
@jwsenefeld @SKHunterPhD @DrMJoyner
Sex-Based Differences in the Representation of Top Youth Athletes
Running by age 6 and in swimming by age 7 boys represent a larger proportion of top 100 rankings than do girls. And by 12-13 years girls are no longer in the top 10.
Tidmas et al, 2023 -
Male puberty induced increased circulating testosterone promotes a greater stature, cardiovascular function, muscle mass, and strength compared to females, culminating in a ~12–40% sport performance advantage.
Trans-identifying males receiving androgen-suppression therapy for 12 months showed significant reductions in strength, lean body mass, and muscle surface area, but even after 36 months, the measurements of these three indices remained above those for females.
Previous male muscle mass and strength can be retained through continuation of resistance training.
The literature reviewed shows that there is a retained physiological advantage for trans-identifying males who have undergone male puberty even after 3 years of androgen-suppression.
Pike, 2022 - Why ‘Meaningful Competition’ is not fair competition
‘Meaningful Competition’ – a term used by some of those who advocate for the inclusion of trans-identifying males in female sport if and only if they reduce their testosterone levels.
This contradicts the standard justification of female sport; the provision of fair equality of opportunity for sport success, which, in turn, requires the exclusion of male advantage.
It is possible to argue in a philosophically coherent way for the abolition of female sport. It is not possible to argue coherently for female sport, but also for the permissibility, within that, of male advantage.
Kataoka et al, 2022
The study tested the possible sex differences in various strength outcomes when pair-matched for muscle thickness. Even when muscle thickness was the same, males had considerably greater strength across a variety of measures.
Males of a similar muscle size have greater strength than females.
Heather, 2022 - Transwoman Elite Athletes: Their Extra Percentage Relative to Female Physiology
This is a review article of almost 100 papers and shows that male advantage starts in the womb – before birth, accelerates during puberty and cannot be reversed by later hormone therapy
Without the sex division, females would have little chance of winning because males are faster, stronger, and have greater endurance capacity.
Male physiology underpins their better athletic performance including increased muscle mass and strength, stronger bones, different skeletal structure, better adapted cardiorespiratory systems, and early developmental effects on brain networks that wires males to be inherently more competitive and aggressive.
Testosterone secreted before birth, postnatally, and then after puberty is the major factor that drives these physiological sex differences, and as adults, testosterone levels are ten to fifteen times higher in males than females.
The normal range of testosterone of females does not overlap with the normal range for males.
Using testosterone levels as a basis for separating female and male elite athletes is arguably flawed.
Male physiology cannot be reformatted by estrogen therapy because testosterone has driven permanent effects through early life exposure.
This descriptive critical review discusses the inherent male physiological advantages that lead to superior athletic performance and then addresses how estrogen therapy fails to create a female-like physiology in the male.
Ultimately, the former male physiology of trans-identifying male athletes provides them with a physiological advantage over the female athlete.
Hilton, Lundburg 2021. This is a Review paper which refers to over 100 other articles.
The performance gap between males and females becomes significant at puberty and often amounts to 10–50% depending on sport.
The performance gap is more pronounced in sporting activities relying on muscle mass and explosive strength, particularly in the upper body.
Longitudinal studies examining the effects of testosterone suppression on muscle mass and strength in trans-identifying males consistently show very modest changes, where the loss of lean body mass, muscle area and strength typically amounts to approximately 5% after 12 months of treatment.
Thus, the muscular advantage enjoyed by trans-identifying males is only minimally reduced when testosterone is suppressed.
This slight reduction is not nearly sufficient to level the playing field – medals are decided by differences of < 1%
Wiik et al, 2020 - Muscle Strength, Size, and Composition Following 12 Months of Gender-affirming Treatment in Transgender Individuals - PubMed
Study of untrained men and women measured effect of hormone therapy on muscle volume and density over 12 months.One year of cross-sex hormone treatment resulted in robust increases in muscle mass and strength in trans-identifying females, but modest changes in trans-identifying males.
Thigh muscle volume increased (15%) in trans-identifying females, which was paralleled by increased quadriceps cross-sectional area (CSA) (15%) and radiological density (6%).
In trans-identifying males, the corresponding parameters decreased by -5% (muscle volume) and -4% (CSA), while density remained unaltered.
Biological males retain their significant advantage over females even after hormone therapy.
Roberts et al, 2020 - Transgender women outpace cisgender women in athletic tests after 1 year on hormones
Roberts et al, 2020. This is a paper comparing data from the US Air Force which shows that the male advantage is reduced but cannot be reversed by hormone therapy.
The 15–31% athletic advantage that transwomen displayed over their female counterparts prior to starting hormones declined.
However, trans-identifying males still had a 9% faster mean run speed after the 1 year period of testosterone suppression that was recommended by World Athletics for inclusion in women's events.
Trans-identifying males retain an advantage in endurance (1.5-mile run) over female controls for over 2 years after starting hormones.
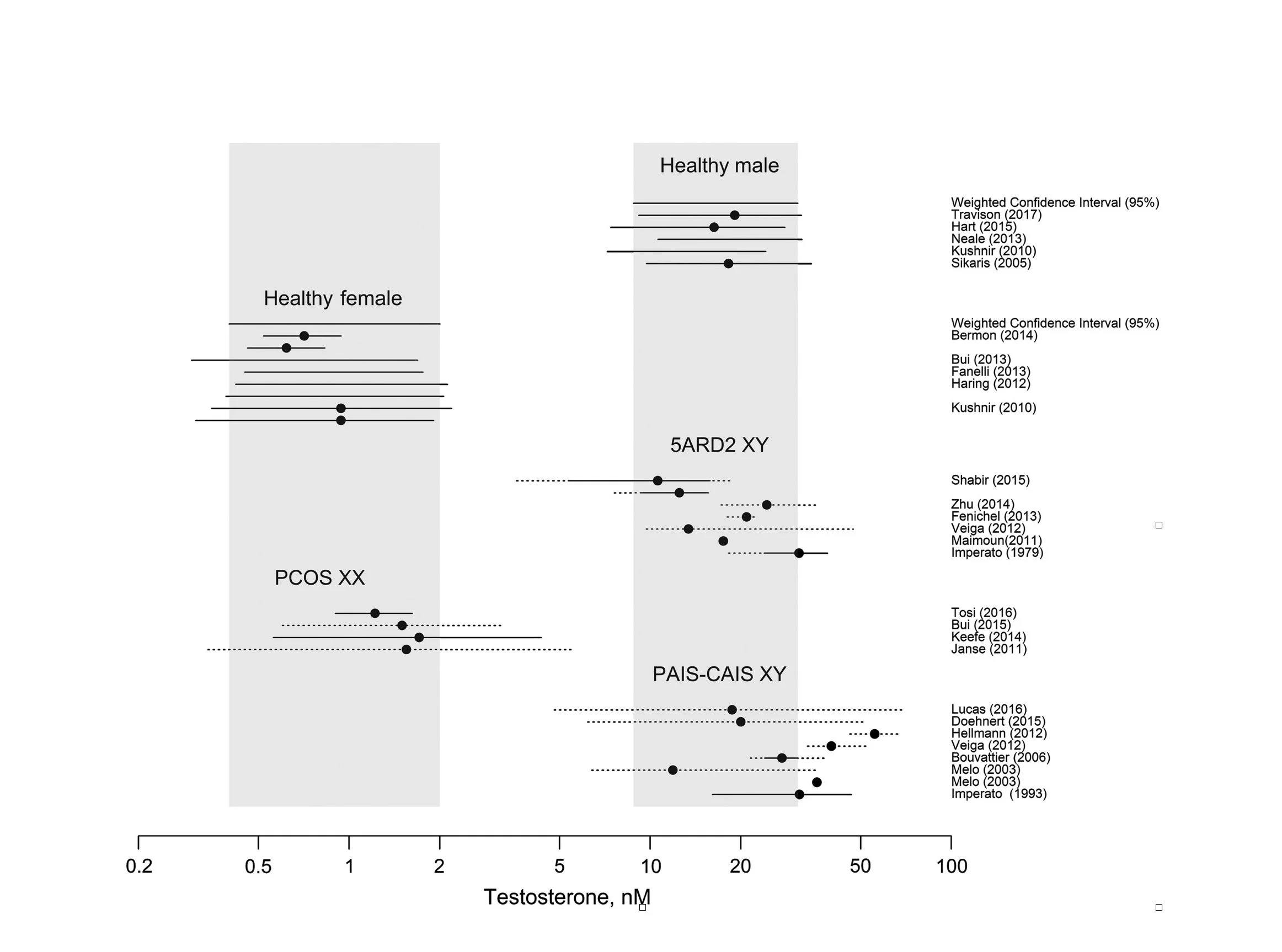
Clark, 2019 - A literature review from peer reviewed journals, reporting testosterone levels in healthy males and females, males with 46XY DSD, and females with hyperandrogenism due to polycystic ovary syndrome (PCOS).
The normal range of testosterone levels in premenopausal healthy adult females (<45 years old) averages 0.4-2.0 nmol/L whereas the range for males is between 8.8-30.9 nmol/L.
Testosterone levels in healthy males and healthy females show a marked bimodial distribution with no overlap. The lowest male levels are four to fivefold higher than the upper limit of the female range.
The range of testosterone levels in females with PCOS extends beyond that of the normal female range, but not into the normal male range.
The ranges of testosterone levels in genetic males with 5ARD2 and PAIS and CAIS are mostly within the normal male range, and well beyond the range for normal females.
These results do not support the creation of a sports policy where an individual is permitted to compete in the female category if testosterone is limited to 10.4 nmol/L. (This is five times the upper limit of a healthy female and women are not males with reduced testosterone).
Handelsman, 2018 - Circulating Testosterone as the Hormonal Basis of Sex Differences in Athletic Performance - PubMed
Circulating testosterone concentrations rise in men because testes produce 30 times more testosterone than before puberty with circulating testosterone exceeding 15-fold that of women at any age.
There is a wide sex difference in circulating testosterone concentrations and a reproducible dose-response relationship between circulating testosterone and muscle mass and strength as well as circulating hemoglobin in both men and women.
Tucker, 2017 - (PDF) The Unlikeliness of an Imminent Sub-2-Hour Marathon: Historical Trends of the Gender Gap in Running Events
The average male-female gap is currently 11.2 ± 1.0% for all running events. However, reducing the marathon time to below two hours would produce a performance 12.9% (+1.7 SD) faster than the women's marathon record. This would be implausible.
Espen Tønnessen et al, 2015 - Performance development in adolescent track and field athletes according to age, sex and sport discipline. - Abstract - Europe PMC
This is an analysis of the 100 all-time best Norwegian male and female 60-m, 800-m, long jump and high jump athletes in each age category from 11 to 18 years.
It shows that male advantage in sports rises rapidly during adolescence.
The performance sex difference evolves from < 5% to 10-18% in all the analyzed disciplines from age 11 to 18 yr.
Listen to BBC More or Less debunk the myth that female endurance runners outpace male runners in extreme ultra marathon events
